¿Qué es el Costo Anual Total (CAT)?
El Costo Anual Total (CAT) es una medida que nos dice, en un solo número, cuánto cuesta realmente un crédito en un año.
No solo incluye la tasa de interés, sino también comisiones, cargos y otros gastos. De esta forma, el CAT muestra el costo real y completo del crédito, ayudando a que los cooperativistas tengan información clara y transparente.
¿Para qué sirve el CAT?
El CAT es muy útil para los cooperativistas de COOPCLARET porque les permite:
-
Saber cuánto pagarán realmente por un crédito, más allá de la tasa de interés.
-
Comparar diferentes créditos fácilmente, ya que las demás instuciones financieras y cooperativas deben mostrar su CAT.
-
Tomar mejores decisiones financieras, eligiendo el crédito más conveniente y sostenible.
-
Fortalecer la confianza nuestra cooperativa, porque la información se presenta de forma clara y transparente.
¿Cómo usar el CAT?
Usar el CAT es sencillo:
-
Pregunta por el CAT cuando solicites un crédito.
-
Compara el CAT de las distintas opciones de instituciones financieras que tengas disponibles.
-
No te fijes solo en la tasa de interés; recuerda que el CAT refleja todos los costos.
-
Elige la opción que mejor se ajuste a tus necesidades y capacidad de pago.
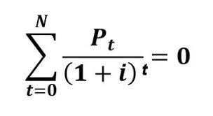
Fórmula del cálculo de Costo Anual Total (CAT)
Ecuacion N°.1. Calculo del costo total:
Pt= t-esimo pago netos (Pagos desembolso)
N= número de pagos
I= numero de pago del crédito.
∑= símbolo de sumatoria de datos.
Conceptos excluidos en el Costo Anual Total (CAT)
El Costo Anual Total (CAT) no incluirá aquellos conceptos que la cooperativa no puede controlar. Es decir, aquellos que estan determinados por factores totalmente ajenos a ella y no puede modificar. En ese sentido, para los efectos del cálculo del CAT, las cooperativas deberán excluir:
- Impuestos aplicables a la transacción.
- Gastos originados en la valoración de bienes otorgados en garantía; y,
- Gastos notariales por el registro y traslado de dominio.
